当前位置 >> 首页 >> 学习园地 >>  业内热点

业内热点

研究在强自旋-轨道耦合材料纳米线和超导体复合“岛”中测量出电子奇偶性完整相图

稿件来源:物理研究所 责任编辑:ICAC 发布时间:2021-08-24

  近日,中国科学院物理研究所/北京凝聚态物理国家研究中心Q02组特聘研究员沈洁,与荷兰代尔夫特理工大学Leo Kouwenhoven组、微软-代尔夫特量子实验室、荷兰爱因霍弗理工大学Erik Bakker组合作,在强自旋-轨道耦合材料InSb纳米线和超导铝的复合系统做成的量子器件——“马约拉纳岛”中测量出完整的电子奇偶性的相图。

  在具有强自旋-轨道耦合的半导体纳米线上覆盖超导膜引入超导态,再施加一定磁场后可以使这个体系成为一维拓扑超导体,在两端各形成一个马约拉纳零能模。如果将这个系统在电化学势上与外界隔离,引入库伦充电能,便可精确控制单电子隧穿进出这个拓扑超导系统。若系统是拓扑平庸的超导体,参与隧穿的只能是库珀对,这类器件称为库珀对晶体管(cooper-pair transistor),是超导量子比特的核心;如果这个系统是半导体,参与隧穿的是单电子,但系统并没有超导性,这类器件称为单电子晶体管(single-electron transistor)或量子点(quantum dot),是半导体量子点自旋量子比特的核心。虽然半导体量子点中发生的是单电子隧穿,但它并不保持量子态的相干性;而对于两端各有一个马约拉纳零能模的岛,不论它们之间有多远,电子都可以通过这一对马约拉纳零能模共同构成的准粒子态隧穿过岛并保持量子相干,称为隐形传输【或遥距传输,teleportation,Physical Review Letters 104, 056402(2010)】。这样的器件称为“马约拉纳岛”。利用岛上电子数的奇偶性可以构建拓扑量子比特的双重简并态|0>态和|1>态,是构建拓扑量子比特最基本和最核心的单元。岛上电子数奇偶性(parity)使隐形传输的电子有一个π的相移,可用来测量马约拉纳零能模和拓扑量子比特的量子态。同时,用马约拉纳岛构成网络结构,可以利用隐形传输测量量子比特态实现编织(braiding)马约拉纳零能模的功能,避免早期编织方案——在T型结的实空间中编织马约拉纳零能模时影响拓扑保护的问题,已成为国际上认可的编织方案。

  拓扑超导体中的单电子隧穿来源于马约拉纳零能模的存在,反映出的拓扑超导基态的二重简并,对应岛上电子数的奇偶性(parity)在偶数态(准粒子态没有被占据,故岛上电子都是库珀对)和奇数态(准粒子态被一个电子占据)之间变化,测量岛上电子的奇偶性可以探索马约拉纳零能模。岛上电子数的奇偶性变化也可能由于拓扑平庸的安德列耶夫束缚态引起,这时系统可以看作是超导-正常金属(半导体)复合系统。探究奇偶性随磁场和化学势的变化可以给出这个准粒子态是否是拓扑平庸还是非平庸的依据。奇偶性可以通过库伦振荡电导峰来表征,由库伦峰振荡的间距大小也可以推算出准粒子态所对应的能量。测量奇偶性的前提是在零磁场下岛上库伦振荡的周期是2倍电子电荷(2e),即以库珀对的形式隧穿过岛,说明岛上的诱导超导能隙中没有准粒子态,是硬能隙(hard superconducting gap)。在一定的平行场下,2e周期的库伦振荡会逐渐劈裂成奇偶交替,直到完全等周期的1e周期振荡,这说明有零能模的出现。这个过程称为2e-1e的转变,转变点发生的磁场B*是零能模出现的临界点,即潜在的拓扑相出现的临界点。当磁场大于超导临界磁场以后会出现1e等周期库伦振荡,但这时施加偏压测量电导不会有超导能隙的出现。关于复合系统的岛的研究是Marcus组的《马约拉纳岛中零能模的指数保护》【Nature 531, 206 (2016)】,测量发现InAs-Al体系中不同长度的岛上库伦振荡间距的幅值随磁场振荡,由振荡幅值估算出准粒子态的能量,发现能量随岛长度递增而指数递减,在1微米以上趋向于零能。这个指数关系符合马约拉纳模的特征【Physical Review B 86, 220506 (2012)】,提供了电子通过马约拉纳零能模的隐形传输隧穿过岛的有力支持。但这个现象存在与马约拉纳零能模不符合的一点——库伦振荡间距的幅值随磁场减小,而马约拉纳模该增大。此后的研究解释了实际器件中岛的不完美可以带来马约拉纳模的不同现象,如谢心澄和卢海舟团队提出的在岛的边缘上自旋-轨道耦合的台阶状分布【Physical Review Letters 122, 147701(2019)】。沈洁在代尔夫特做博后期间首次在InSb-Al体系的岛上研究了库伦振荡随磁场和化学势的变化,发现2e-1e的转变磁场B* 会随着化学势而变化,提供了调控奇偶性来构建拓扑量子比特的可能性;发现库伦振荡的间距随磁场振荡的行为,除了是马约拉纳零能模导致,也可能是多个安德列耶夫束缚态的叠加效应,给出了一定程度的负面结果【Nature Communication 9, 4801 (2018)】。

  为了区别马约拉纳零能模和安德列耶夫束缚态导致的1e周期的库伦振荡的行为,Flensberg提出理论预言:由于马约拉纳零能模的粒子-空穴对称性(particle-hole symmetry),库伦振荡间距的幅值随磁场振荡时,库伦振荡电导峰的峰值大小也会随磁场振荡,且两者有一个锁定关系——前者振荡的极值对应后者振荡的零值,反之亦然【Physical Review B 97, 041411(R)(2018)】。这个锁定关系对于安德列耶夫束缚态不成立。这个现象首次被哥本哈根Marcus和Nichele团队在InAs 二维电子气和铝的复合岛中观察到【Physical Review Letters 121, 256803 (2018)】,但缺乏系统的表征。沈洁在此前研究【Nature Communication 9, 4801 (2018)】中正面和负面结果的基础上全面系统地研究复合岛中所有参数可测量的区间内的库伦振荡,发现2e-1e的转变磁场B* 在可测量的范围内随门电压(化学势)的变化依赖可以分为三个区间,对比理论计算,描绘出完整的相图。这三个区间的具体性质如下:在正的门电压的区间(区间Ⅲ),B* 出现在很小的磁场,这个区间此前被认为是马约拉纳零能模出现的区间。实验和理论对比发现,这个区间的诱导超导能隙很小,由于orbital effect等效应出现拓扑平庸的库伦振荡;负的门电压对应的区间(区间Ⅰ)由于g因子太小,因此在失超前都很难出现1e周期的库伦振荡;中间的转变区间(区间Ⅱ)有合适的诱导超导能隙和g因子,是有可能出现拓扑转变的区间,在这个区间找到了库伦振荡幅值和峰值的锁定关系,符合马约拉纳零能模的特征,但并不是完全排除其他可能性。要找到更确切的证据,需要更长的岛、更高的超导临界磁场以及更加快速的高频测量被引入。

  该研究直面复合岛器件中拓扑平庸和非平庸态共存的关键问题,给出完整的相图;指出以往认为的拓扑区间很可能是拓扑平庸的,而真正的拓扑态区间在转变区,给出了该区库伦振荡幅值和峰值关联的明确信息。相关研究成果发表在Physical Review B上。该研究为未来在该体系中寻找更多的马约拉纳零能模的证据提供了关键信息和工作区间,并为未来构筑拓扑量子比特提供了调控的参数和方式。研究工作得到国家自然科学基金、中科院战略性先导科技专项和综合极端条件实验装置的支持。

  论文链接 

 

图1.岛器件的实物图(a)和截面示意图(b:纵切面、c:横切面)。零场下库伦振荡是2e周期的(c),到0.6T劈裂成1e周期(d)。

 

图2.由20-30个库伦振荡算出的平均周期随门电压(化学势)和磁场变化的相图(a)、其中深蓝色表示2e周期,浅蓝色表示1e周期,两者分界线对应2e-1e的转变磁场B*,根据B* 随门电压变化趋势把相图划分为三个区间。第一个区间B*接近于超导临界磁场,是由于准粒子中毒影响超导能隙导致的;第二个区间B*随着门电压变化,是潜在的拓扑态区间;第三个区间B*是稳定的较小的值,是以前认为拓扑转变的区间,但研究发现是由于orbital effect导致的拓扑平庸区间。这三个区间对应的统计周期分布如(b)所示,更能显示B*的趋势,~0.6mV对应1e,~1.2mV对应2e。

 

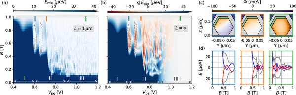
图3.理论计算的相图(a)和拓扑能隙(b),其中深红色对应好的拓扑态,在对应实验的相图中的转变区间(第二个区间)。(c)给出了三种区间不同门电压(化学势)下横截面内波函数的分布,以及相应的超导能隙内态随磁场的变化。

 

图4.在第二个区间内具体的库伦振荡电导峰随化学势和磁场而变化的二维图(a)。不同门电压上每一对库伦振荡电导峰的间距和峰值随磁场的变化画在图(b)中,红蓝叉线分别对应奇和偶数电子对应的振荡间距,黑色点线对应奇和偶数电子对应的振荡电导峰的比值。可以看到两者振荡是锁定的,黑色的0.5值对应红蓝线的极值点,这反映了电子隧穿岛占据的准粒子态的粒子-空穴对称性,与理论预言的马约拉纳零能模的隐形传输符合。图(c)中的“X”指的便是上述的关联点。

附件:
相关新闻:
物理所等在磁性外尔半金属中首次提出“自旋轨道极化子”概念
国家纳米中心自旋场效应晶体管研究获进展
半导体所等在Kagome量子自旋液体分数化自旋激发研究中获进展